Luciérnagas. Sincronizando sus destellos
Las luciérnagas dan lugar a uno de los ejemplos más espectaculares de sincronización en la naturaleza. En algunos rincones del planeta, miles de luciérnagas macho se congregan por la noche para emitir destellos al unísono. Las hembras, generalmente posadas entre la vegetación, observan ese despliegue y responden a las señales luminosas de los machos que les resultan más atractivos.
Antes de entender cómo se produce esa sincronización, conviene detenerse brevemente en explicar qué es una luciérnaga y cómo es su ciclo vital.
Las luciérnagas pertenecen a lo que comúnmente denominamos escarabajos (Coleoptera). Pertenecen a la familia Lampyridae, y se conocen unas 2000 especies distribuidas principalmente en regiones templadas y tropicales.
Captura de Photinus pyralis en vuelo

En cuanto a su estilo de vida, pasan por metamorfosis completa: huevo, larva, pupa y adulto. En muchas especies, las larvas viven en el suelo, la hojarasca o zonas húmedas, y suelen ser depredadoras de pequeños invertebrados, especialmente caracoles y babosas. Según la especie, los adultos también se alimentan, mientras que otros viven muy poco tiempo y centran casi toda su fase adulta en reproducirse.
Además, las luciérnagas muestran una notable diversidad de formas de vida y aunque la mayoría son nocturnas, algunas especies se mantienen activas durante el día. Por otro lado, en ciertos grupos, las hembras tienen alas reducidas o incluso son prácticamente ápteras (carecen de alas o no presentan alas funcionales), mientras que los machos suelen presentar mejores aptitudes para el vuelo.
En Europa, por ejemplo, el llamado “gusano de luz” común, Lampyris noctiluca, presenta hembras sin alas funcionales que brillan intensamente para atraer a los machos.
Imagen de la izquierda: hembra de Lampyris noctiluca. Imagen de la derecha: hembra y dos machos apareándose.


Crédito: https://www.britannica.com/story/how-do-glowworms-glow; https://es.wikipedia.org/wiki/Lampyris_noctiluca#/media/Archivo:Glow_worms.jpg
También hay comportamientos muy llamativos. Un caso famoso es el de algunas hembras del género Photuris, que imitan las señales luminosas de otras luciérnagas, como las del género Photinus, para atraer a los machos y comérselos (un clásico ejemplo de engaño depredador).
La luz no es un mero elemento decorativo.
En muchas especies funciona sobre todo como señal de comunicación sexual: los machos vuelan emitiendo patrones de destellos y las hembras responden con señales propias. Cada especie puede tener un patrón distinto de destello, lo que ayuda a reconocer a las posibles parejas.

¿Dónde se pueden encontrar?
En general, en zonas con vegetación, humedad y noches relativamente oscuras: praderas, bosques, márgenes de ríos, humedales, jardines y campos. Están presentes en gran parte de América, Europa, Asia y otras regiones templadas y tropicales, aunque su abundancia depende mucho del hábitat local.
Conservación
En los últimos años, su declive ha despertado una creciente preocupación. Entre las principales amenazas se encuentran la pérdida y fragmentación del hábitat, la contaminación lumínica y el uso de pesticidas. La luz artificial nocturna puede interferir directamente en sus señales de cortejo, dificultando que machos y hembras lleguen a encontrarse. Por ello, la conservación de las luciérnagas se ha convertido en una cuestión cada vez más relevante, hasta el punto de que la UICN cuenta con un grupo especializado dedicado a su estudio y protección.

Un número creciente de estudios que investigan los efectos de la luz artificial nocturna sobre las luciérnagas ha demostrado que la contaminación lumínica puede alterar las señales de cortejo de las luciérnagas e incluso interferir en la dispersión de las larvas. Los investigadores coinciden en que es necesario proteger y mejorar el hábitat de las luciérnagas para conservar sus poblaciones.
La sincronización, por tanto, no es un espectáculo aislado, sino la culminación de una larga historia evolutiva en la que la luz dejó de ser solo una rareza biológica para convertirse en una forma de comunicarse. Llegado a este punto, la pregunta es inevitable.

¿Cómo consiguen sincronizarse miles de individuos sin un director que marque el ritmo?
La respuesta no está en ninguna inteligencia colectiva consciente ni tampoco en el azar, sino en un fenómeno emergente. Cada macho emite destellos siguiendo su propio patrón interno, pero al percibir los pulsos de los demás se adapta ligeramente su siguiente emisión. Cuando esto ocurre una y otra vez dentro de una población densa, el resultado es una convergencia progresiva hacia un mismo compás luminoso.
Esto, por lo tanto, implica que las luciérnagas, al contrario de lo que pueda parecer, no empiezan sincronizadas. Esta sincronía se va construyendo conforme avanza la noche, y la clave está en que las luciérnagas se influyen unas a otras: cuando una luciérnaga ve el destello de otra, retrasa o adelanta su ritmo para destellar más cerca de la fase de la otra en el próximo ciclo.
Aunque haya luciérnagas que no compartan línea de visión entre ellas, sí que pueden compartir sincronía en el patrón de destello debido al carácter colectivo del fenómeno. En esta imagen se puede visualizar cómo el efecto de una (pongamos la ubicada en el extremo inferior izquierdo) puede afectar al patrón de destello de otra que se encuentre fuera de su vista (podría ser la ubicada en el extremo inferior derecho, tras un árbol y un arbusto).

Estudios como el de Hanson en 1978 evidenciaron este efecto en laboratorio y corroborando que ante destellos periódicos provocados frente a una luciérnaga, ésta intenta sincronizarse. Para un intervalo de periodos cercano al periodo natural de la luciérnaga (aproximadamente 0.9 s), esta era capaz de ajustar su frecuencia al estímulo periódico. Cuando la luciérnaga logra "acoplarse" al destello que observa, se dice que ha sido "arrastrada" por el estímulo. Por el contrario, si el estímulo fuera demasiado rápido o lento, la luciérnaga no podría seguir al estímulo y el arrastre se perdería.
En 1984, Ermentrout y Rinzel propusieron un modelo simple del ritmo del destello de la luciérnaga, así como de su respuesta a los estímulos luminosos.
Supongamos que θ(t) es la fase del ritmo de destello de la luciérnaga, donde θ=0 corresponde al instante en que se emite un destello. Supondremos que, en ausencia de estímulo, la luciérnaga recorre su ciclo con una frecuencia ω, de acuerdo con

Supongamos ahora que existe un estímulo periódico cuya fase Θ satisface

donde Θ=0 corresponde al destello del estímulo. Modelamos la respuesta de la luciérnaga a este estímulo como sigue: si el estímulo va por delante en el ciclo, suponemos que la luciérnaga acelera en un intento de sincronizarse. Recíprocamente, la luciérnaga se ralentiza si está destellando demasiado pronto.
Un modelo simple que incorpora estas suposiciones es:

donde A>0. Por ejemplo, si Θ va por delante de θ (es decir, 0<Θ−θ<π), la luciérnaga acelera. La intensidad de reajuste A mide la capacidad de la luciérnaga para modificar su frecuencia instantánea.
Estímulo demasiado rápido. La luciérnaga no logra acoplarse al destello que observa.

Estímulo demasiado lento. La luciérnaga no logra acoplarse al destello que observa.

Estímulo cercano a la frecuencia natural de la luciérnaga. La luciérnaga logra acoplarse al destello que observa.

Acoplamiento de frecuencias de destello.

Para ver si puede ocurrir el arrastre, observamos la dinámica de la diferencia de fase ϕ=Θ−θ. Restando (2) de (1) se obtiene

que es una ecuación de oscilador no uniforme para ϕ(t). La ecuación (3) puede adimensionalizarse introduciendo

Quedando de este modo

donde ϕ′=dϕ/dτ. El grupo adimensional μ es una medida de la diferencia de frecuencias relativa a la intensidad de reajuste. Cuando μ es pequeño, las frecuencias están relativamente próximas y esperamos que el arrastre sea posible.
Esto queda confirmado en la figura siguiente, donde se representan los campos vectoriales de (5) para distintos valores de μ≥0, siendo el caso μ<0 similar.

Cuando μ=0, todas las trayectorias fluyen hacia un punto fijo estable en ϕ∗=0 (a). Así, la luciérnaga acaba siendo arrastrada con diferencia de fase nula en el caso Ω=ω. En otras palabras, la luciérnaga y el estímulo destellan simultáneamente si la luciérnaga es forzada a su frecuencia natural.
(b) muestra que para 0<μ<1, la curva de la figura (a) se eleva y los puntos fijos estable e inestable se acercan entre sí. Todas las trayectorias siguen siendo atraídas hacia un punto fijo estable, pero ahora ϕ∗>0. Como la diferencia de fase tiende a una constante, se dice que el ritmo de la luciérnaga está bloqueado en fase con el estímulo.
El bloqueo en fase significa que la luciérnaga y el estímulo marchan con la misma frecuencia instantánea, aunque ya no destellen al unísono. El resultado ϕ∗>0 implica que el estímulo destella por delante de la luciérnaga en cada ciclo. Esto tiene sentido: hemos supuesto μ>0, lo que significa que Ω>ω; el estímulo es intrínsecamente más rápido que la luciérnaga, y la obliga a ir más deprisa de lo que naturalmente querría. Así, la luciérnaga se queda atrás. Pero nunca llega a ser adelantada completamente: siempre queda rezagada en fase en una cantidad constante ϕ∗.
Si seguimos aumentando μ, los puntos fijos estable e inestable acaban fusionándose en una bifurcación de nodo-silla cuando μ=1. Para μ>1, ambos puntos fijos han desaparecido y ahora se pierde el bloqueo en fase; la diferencia de fase ϕ aumenta indefinidamente, lo que corresponde a la deriva de fase (c). (Por supuesto, una vez que ϕ alcanza 2π, los osciladores vuelven a estar en fase). Obsérvese que las fases no se separan a ritmo uniforme, en acuerdo cualitativo con los experimentos de Hanson (1978): ϕ aumenta más lentamente cuando pasa por debajo del mínimo de la onda sinusoidal de la figura c, en ϕ=π/2, y más rápidamente cuando pasa por debajo del máximo, en ϕ=−π/2.
Definición de bifurcación de nodo-silla
Bifurcación de nodo-silla: fenómeno en el que un punto fijo estable y otro inestable colisionan al variar un parámetro y se aniquilan, provocando la desaparición del equilibrio.
En este caso concreto de las luciérnagas, para ϕ′=μ−sinϕ
- cuando μ<1 existen dos puntos fijos: uno estable y otro inestable.
- Al llegar a μ=1, ambos se unen en un único punto.
- Para μ>1, ya no queda ningún punto fijo.
El modelo hace varias predicciones específicas y contrastables. Se predice que el arrastre es posible solo dentro de un intervalo simétrico de frecuencias de forzamiento, concretamente

Este intervalo se denomina rango de arrastre.
Midiendo experimentalmente el rango de arrastre, se puede determinar con precisión el valor del parámetro A. Entonces, el modelo hace una predicción rígida para la diferencia de fase durante el arrastre:

donde −π/2 ≤ ϕ∗ ≤ π/2 corresponde al punto fijo estable de (3).
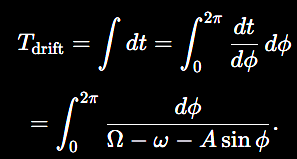
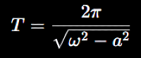
Además, para μ>1, el período de la deriva de fase puede predecirse como sigue. El tiempo requerido para que ϕ cambie en 2π viene dado por

Para evaluar esta integral, invocamos la ecuación

que viene del siguiente desarrollo que parte de la ecuación diferencial (oscilador no uniforme):

y como

entonces

de modo que

y el resultado final es

Volviendo a la resolución de la integral previa para calcular el tiempo requerido para que ϕ cambie en 2π:

Puesto que A y ω son presumiblemente propiedades fijas de la luciérnaga, las predicciones (6) y (7) podrían comprobarse simplemente variando la frecuencia de excitación Ω.
A decir verdad, la realidad biológica de las luciérnagas sincrónicas es más complicada. El modelo mostrado aquí es razonable para ciertas especies, como Pteroptyx cribellata, que se comportan como si A y ω fueran fijos. Sin embargo, la especie que mejor sincroniza, Pteroptyx malaccae, es realmente capaz de desplazar su frecuencia ω hacia la frecuencia de excitación Ω (Hanson 1978). De este modo puede alcanzar una diferencia de fase casi nula, incluso cuando es excitada con períodos que difieren de su período natural en ±15%. [Nonlinear Dynamics and Chaos - Steven H. Strogatz]


Referencias:

Nonlinear Dynamics and Chaos - Steven H. Strogatz. ISBN-13 978-0-7382-0453-6
https://antoniop.sdsu.edu/teaching/m638/homework/firefly_pacemaker.pdf
https://www.youtube.com/watch?v=WqGD24lWp6g
https://www.britannica.com/animal/firefly-insect


https://www.gbif.org/es/species/5744295
https://resjournals.onlinelibrary.wiley.com/doi/10.1111/een.12702
https://www.sciencedirect.com/science/article/abs/pii/S002219102100010X?via%3Dihub
